3. 불천위기제축문(不遷位忌祭祝文)
페이지 정보
작성자 [홈:귀암]_광호 작성일 08-05-31 17:05 조회 4,533회 댓글 0건본문
3. 불천위기제축문(不遷位忌祭祝文)
불천위는 학덕이 높으신 분이거나 국가 사회에 유공(有功)하여 시호(諡號)를 받으신 분이거나 서원(書院)에 봉향되신 분이거나 쇠락한 가문을 일으킨 중흥조(中興祖)등 영세불망(永世不忘)의 조상으로서 영구히 제향(祭享)을 끊을 수 없는 현조(顯祖)를 말한다.
불천위에는 국불천(國不遷), 화불천(和不遷)이 있고, 국불천위의 종손을 종군(宗君)이라 한다.
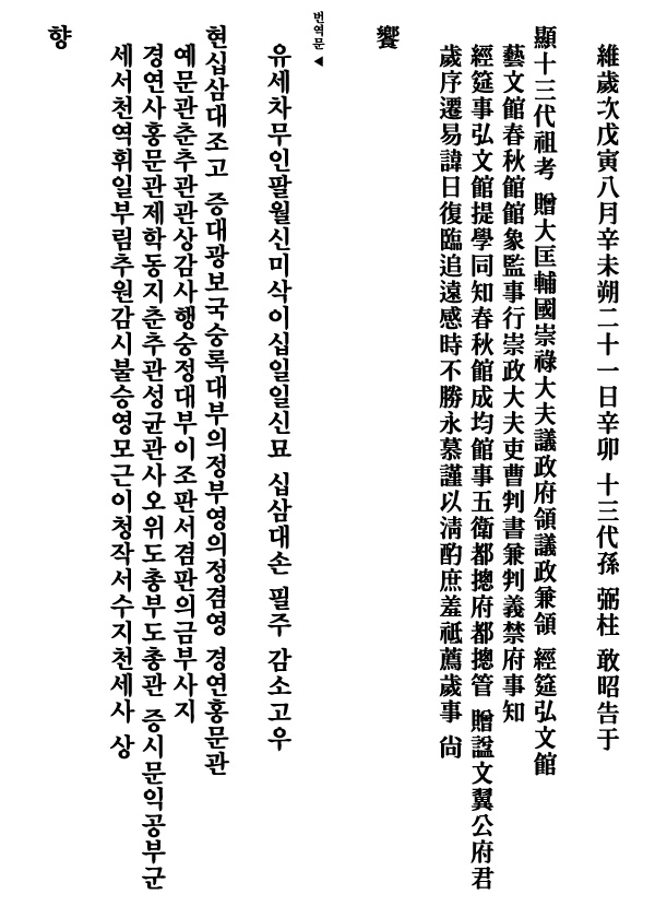
[예문 1] 文翼公 忌祭祝文(문익공 기제축문)

[예문 2] 石潭先生 忌祭祝文(석담선생 기제축문)
維歲次戊寅八月辛未朔初九日己卯 十六代孫 炳求 敢昭告于
顯十六代祖考 贈 嘉善大夫吏曹參判 兼 同知 經筵 義禁府春秋館成均館事弘文館提學藝文館提學 世子左副賓客 行通政大夫工曹參議 知 製敎 府君 歲序遷易 諱日復臨 追遠感時 不勝永慕 謹以 淸酌庶羞 祗薦歲事 尙
饗
▶ 번역문 :
유세차무인팔월신미삭초구일기묘 십육대손 병구 감소고우
현십육대조고 증 가선대부이조참판 겸 동지 경연 의금부춘추관성균관사홍문관제핫예문관제학 세자좌부빈객 행통정대부공조참의 지 제교 부군 세서천역 휘일부림 추원감시 불승영모 근이 청작서수 지천세사 상
향
[예문 3] 朴谷「都憲」公 忌祭祝文(박곡「도헌」공 기제축문)
維歲次戊寅十二月○○朔二十一日○○ 十四代孫 炳均 敢昭告于
顯十四代祖考 嘉善大夫司憲府大司憲 府君 歲序遷易 諱日復臨 追遠感時 不勝永慕 謹以 淸酌序羞 祗薦歲事 尙
饗
▶ 번역문 :
유세차무인십이월○○삭이십일일○○ 십사대손 병균 감소고우
현십사대조고 가선대부사헌부대사헌 부군 세서천역 휘일부림 추원감시 불승영모 근이 청작서수 지천세사 상
향
☞ 참고 : 위의 축문의 앞의 ○○은 干支(제사가 드는 달의 간지)를 나타내며, 뒤의 ○○은 日辰(제사를 모시는 날의 일진)을 나타낸다.
불천위는 학덕이 높으신 분이거나 국가 사회에 유공(有功)하여 시호(諡號)를 받으신 분이거나 서원(書院)에 봉향되신 분이거나 쇠락한 가문을 일으킨 중흥조(中興祖)등 영세불망(永世不忘)의 조상으로서 영구히 제향(祭享)을 끊을 수 없는 현조(顯祖)를 말한다.
불천위에는 국불천(國不遷), 화불천(和不遷)이 있고, 국불천위의 종손을 종군(宗君)이라 한다.
[예문 1] 文翼公 忌祭祝文(문익공 기제축문)

[예문 2] 石潭先生 忌祭祝文(석담선생 기제축문)
維歲次戊寅八月辛未朔初九日己卯 十六代孫 炳求 敢昭告于
顯十六代祖考 贈 嘉善大夫吏曹參判 兼 同知 經筵 義禁府春秋館成均館事弘文館提學藝文館提學 世子左副賓客 行通政大夫工曹參議 知 製敎 府君 歲序遷易 諱日復臨 追遠感時 不勝永慕 謹以 淸酌庶羞 祗薦歲事 尙
饗
▶ 번역문 :
유세차무인팔월신미삭초구일기묘 십육대손 병구 감소고우
현십육대조고 증 가선대부이조참판 겸 동지 경연 의금부춘추관성균관사홍문관제핫예문관제학 세자좌부빈객 행통정대부공조참의 지 제교 부군 세서천역 휘일부림 추원감시 불승영모 근이 청작서수 지천세사 상
향
[예문 3] 朴谷「都憲」公 忌祭祝文(박곡「도헌」공 기제축문)
維歲次戊寅十二月○○朔二十一日○○ 十四代孫 炳均 敢昭告于
顯十四代祖考 嘉善大夫司憲府大司憲 府君 歲序遷易 諱日復臨 追遠感時 不勝永慕 謹以 淸酌序羞 祗薦歲事 尙
饗
▶ 번역문 :
유세차무인십이월○○삭이십일일○○ 십사대손 병균 감소고우
현십사대조고 가선대부사헌부대사헌 부군 세서천역 휘일부림 추원감시 불승영모 근이 청작서수 지천세사 상
향
☞ 참고 : 위의 축문의 앞의 ○○은 干支(제사가 드는 달의 간지)를 나타내며, 뒤의 ○○은 日辰(제사를 모시는 날의 일진)을 나타낸다.
추천43 비추천 0
댓글목록
등록된 댓글이 없습니다.

